Pelaporan Offline Kssr Tahun 4 2020





Koleksi Terkini Templat Pelaporan Pbd Kssr Tahun 4 Bumi Gemilang

Koleksi Terkini Templat Pelaporan Pbd Kssr Tahun 4 Bumi Gemilang

Download Muat Turun Templat Pelaporan Pbd Tahun 4 2020 Sk Dan Sjk Layanlah Berita Terkini Tips Berguna Maklumat

Download Muat Turun Templat Pelaporan Pbd Tahun 4 2020 Sk Dan Sjk Layanlah Berita Terkini Tips Berguna Maklumat

Template Offline Pendidikan Islam Tahun 4 Borang Pelaporan Pai

Template Offline Pendidikan Islam Tahun 4 Borang Pelaporan Pai

Templat Pelaporan Kssr Pendidikan Seni Tahun 6 Sumber Pendidikan

Templat Pelaporan Kssr Pendidikan Seni Tahun 6 Sumber Pendidikan

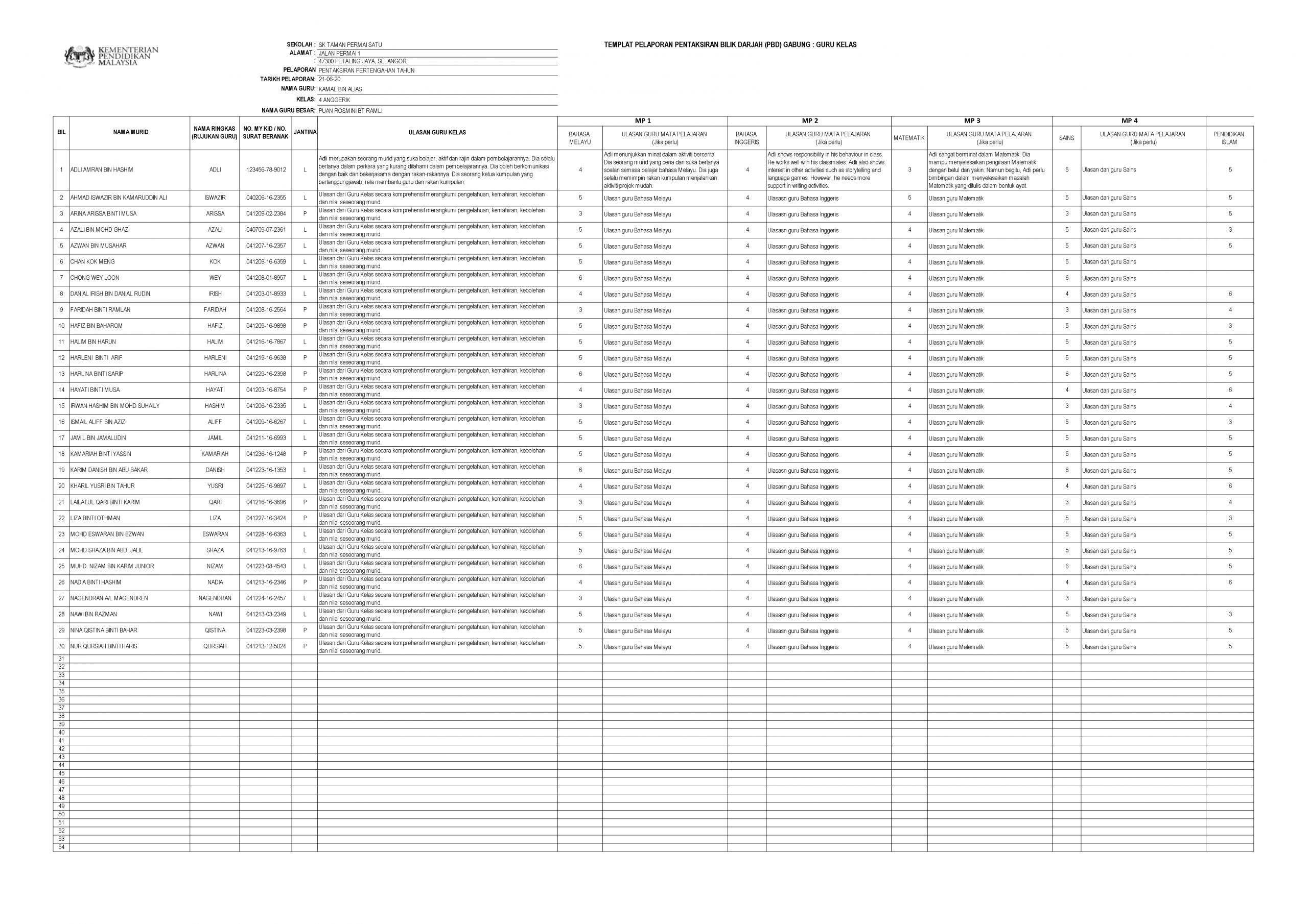
Himpunan Templat Pelaporan Pbd Tahun 4 Gurubesar My

Himpunan Templat Pelaporan Pbd Tahun 4 Gurubesar My

Muat Turun Download Pelaporan Kssr Tahun 4 Layanlah Berita Terkini Tips Berguna Maklumat

Muat Turun Download Pelaporan Kssr Tahun 4 Layanlah Berita Terkini Tips Berguna Maklumat

Muat Turun Download Pelaporan Kssr Tahun 4 Layanlah Berita Terkini Tips Berguna Maklumat

Template Pelaporan Pbd Tahap 1 Dan Tahun 4 Kssr Semakan 2020 Sumber Pendidikan

Template Pelaporan Pbd Tahap 1 Dan Tahun 4 Kssr Semakan 2020 Sumber Pendidikan

Template Pelaporan Pbd 2020 Tahun 1 2 3 Dan 4 Paling Lengkap

Template Pelaporan Pbd 2020 Tahun 1 2 3 Dan 4 Paling Lengkap

Koleksi Ujian Pertengahan Tahun Mei 2019 Tahun 4 Kssr Sumber Pendidikan

Koleksi Ujian Pertengahan Tahun Mei 2019 Tahun 4 Kssr Sumber Pendidikan

Templat Pelaporan Pbd Tahun 4 Tcer My

Templat Pelaporan Pbd Tahun 4 Tcer My

Dskp Kssr Semakan 2017 Tahun 4 Sejarah

Dskp Kssr Semakan 2017 Tahun 4 Sejarah

Pelaporan Pbs Tahun 6

Pelaporan Pbs Tahun 6

Template Pelaporan Pbd Tahun 4 Kssr Semakan

Template Pelaporan Pbd Tahun 4 Kssr Semakan

Template Pelaporan Pbd Tahun 4 Kssr Semakan Sjk Sumber Pendidikan

Template Pelaporan Pbd Tahun 4 Kssr Semakan Sjk Sumber Pendidikan

Templat Pelaporan Pbd Tahun 4 Tcer My

Templat Pelaporan Pbd Tahun 4 Tcer My

Kumpulan Dskp Pendidikan Islam Tahun 2 Yang Boleh Di Download Dengan Cepat Pekeliling Terbaru Kerajaan

Kumpulan Dskp Pendidikan Islam Tahun 2 Yang Boleh Di Download Dengan Cepat Pekeliling Terbaru Kerajaan

Pelaporan Offline Kssr Tahun 4 Sjkc

Pelaporan Offline Kssr Tahun 4 Sjkc

Download Muat Turun Templat Pelaporan Pbd Tahun 4 2020 Sk Dan Sjk Layanlah Berita Terkini Tips Berguna Maklumat

Download Muat Turun Templat Pelaporan Pbd Tahun 4 2020 Sk Dan Sjk Layanlah Berita Terkini Tips Berguna Maklumat

Download Templat Pelaporan Pbd Tahun 4 2020 Mycikgu Net

Download Templat Pelaporan Pbd Tahun 4 2020 Mycikgu Net

Dskp Semua Mata Pelajaran Kssr Semakan 2017 Tahun 4

Dskp Semua Mata Pelajaran Kssr Semakan 2017 Tahun 4

Source : pinterest.com